近日,固体所徐文课题组与山东大学、中科院物理所合作,在钛酸锂超导体红外反射光谱特性研究方面取得新进展。通过研究不同晶格取向钛酸锂超导体红外反射光谱特性,观察到光探测金属-超导转变以及电子局域化效应,相关结果发表在Optics Letters (Optics Letters, 42(8), 1552-1555 (2017))杂志上。
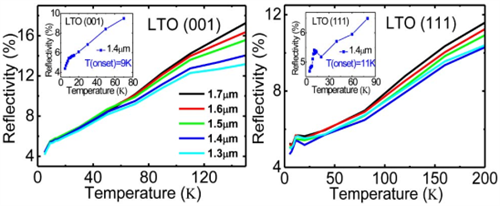
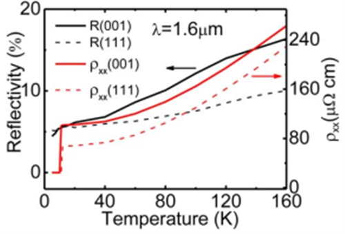
钛酸锂超导体是1973年发现的超导转变温度在10 K左右的一类传统超导材料。钛酸锂超导体作为超导薄膜材料,在电力能源、超导磁体、通信和微电子等领域具有广泛的应用前景,其物理性质比如热、电、磁输运、扫描隧道谱等已被广泛研究,其中电输运测量已经表明钛酸锂超导薄膜材料金属-超导转变温度在10-12 K之间,并且[001]和[111]晶向的超导薄膜具有各向异性。但至今为止没有对此超导体进行过仔细的光学特性研究。基于此,徐文课题组科研人员与其他单位合作,采用脉冲激光沉积方法在镁铝氧衬底上制备了钛酸锂超导薄膜 ([001]和[111]晶向),在近红外波段(1-2 μm),对于钛酸锂超导薄膜,条件ωτ~1得到满足(这里ω是红外光频率,τ是样品中电子的弛豫时间),因此近红外反射光谱作为一种无接触光学测量手段,可以直接应用于测量钛酸锂超导薄膜的红外光学特性(图1)。研究结果表明:光探测钛酸锂超导薄膜的金属-超导转变温度与电输运测量结果一致(图2);不同晶格取向([001]和[111]晶向)的钛酸锂超导转变温度分别为9 K和11 K,光测量和电输运测量的金属态电阻随温度变化趋势一致(图2和图3);在金属态的钛酸锂超导薄膜中观察到电子局域化效应,这个结果是常规电、磁输运测量无法直接观察到的(图2)。
该工作利用简单光学测量,无需在样品上制备欧姆接触电极,并观察到与电输运测量一致的结果以及常规电输运测量所不能测量到的电阻局域化效果,为研究超导材料提供了简单测量方法,为了解超导机理提供了光学研究实验数据。该文章的评审专家之一对论文的审稿意见只有一句话:The paper is very good。
以上研究得到了国家自然科学基金和基金委科学技术部的资助。
全文链接: https://doi.org/10.1364/OL.42.001552

图1. 不同温度下钛酸锂超导薄膜的近红外反射光谱。左、右图分别为[001]和[111]晶向的结果。

图2. 不同波长的钛酸锂超导薄膜反射率随温度变化,左、右图分别为[001]和[111]晶向的结果。

图3. 不同晶向超导钛酸锂薄膜的反射率(黑线)和电阻率(红线)随温度的变化,实线、虚线分别为[001]和[111]晶向样品的测量结果。