|
高聚物的转变和弛豫是软凝聚态物理研究的前沿领域,它同时也是架设于高分子材料结构与性能之间的桥梁。掌握高分子软物质的弛豫特征及其规律可以帮助我们更深刻理解其微观结构与宏观性能间的关系,有利于人们通过改变材料的结构(化学改性)和形态(物理改性)开发高性能和功能化的高分子材料。
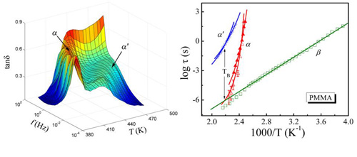
非晶态高聚物在其玻璃态至橡胶态转变过程中共有α弛豫、sub-Rouse模式以及Rouse模式三种链段弛豫模式。然而,对于sub-Rouse模式的弛豫特征及内在本质却知之甚少。我所吴学邦博士、刘长松研究员和朱震刚研究员所在课题组利用力学谱仪研究聚苯乙烯(PS)和聚甲基丙烯酸甲酯(PMMA)的链段弛豫行为,发现与小分子的结构弛豫以及高分子的α弛豫一样,高聚物Sub-Rouse弛豫的动力学同样在温度TB处出现一个转折性变化,且TB处的弛豫时间与高聚物的结构无关,约为0.1 s。运用耦合模型同样发现在TB处,sub-Rouse模式的耦合参数n也出现一个拐点,故该变化是由降温过程中TB至Tg间分子间的耦合作用显著增强引起的。在此基础上,研究聚氧乙烯/聚醋酸乙烯酯(PEO/PVAc)共混物的链段弛豫行为。发现随PEO含量的增加,TB值减小,但TB处的弛豫时间与共混物的组分无关,均为0.1 s。因此,初步认为sub-Rouse模式对于非晶态高分子而言是普遍存在的,且它具有与α弛豫类似的本质特征,即它也是链段间耦合或关联弛豫,但耦合程度要低于α弛豫。相关研究结果发表在Macromolecules 2011, 44, 3605和Soft Matter 2011, 7, 579。
针对高分子胶体粒子的凝胶化行为,课题组人员还研究了Pluronic L64(PEO13-PPO30-PEO13)水溶液的粘弹性行为及其凝胶形成过程中的动力学行为。发现当浓度位于“凝胶岛”的两侧处(~39和60 wt%),体系的粘弹性行为相似,即损耗模量(或内耗)与频率呈现标度关系,这对应于体系的逾渗网络结构。在临界浓度以上,随着温度的升高,发现体系从起初的粘弹性液态转变成逾渗网络结构进而形成凝胶态。因此,凝胶的形成主要是由体系中胶体粒子形成的逾渗网络结构演变而来。相关研究结果发表在Physical Review E 2011, 83, 041801。
上述研究工作得到国家自然科学基金的资助。

PMMA熔体的力学弛豫谱及其弛豫时间随温度变化行为

力学谱实验得到的Pluronic L64水溶液的温度-浓度相图(蓝色符号)。其中,L1、L2、Lα和H分别表示各项
同性的胶团溶液相、反胶团相、层状液晶相以及六角凝胶相。
|